暴力游戏会导致暴力行为么?实验得出反直觉结果
“这游戏这么暴力,玩了之后玩家都要学坏了~”
在对游戏的声讨中,这种说法并不罕见,甚至说可以是主流观点之一。今年早些时候,特朗普在针对近年来美国枪击案频发的回应中还采取了类似的观点,认为暴力电子游戏是引发现实社会暴力行为的重要原因。
既然上至政府首脑,下至普通民众都有这样的看法,那么有没有人科学的论证这件事呢?
你别说,还真有。
早期的一些研究(Anderson et al,2004; Greitemeyer&Osswald,2011)指出,游戏中的特定概念会“启动”现实中对应的概念,从而对玩家现实生活中的行为产生影响。例如,游戏中的暴力元素(血腥视觉、射杀动作等)会启动个体的攻击性认知、情绪和行为。
然而,最新的研究却否定了这一观点,认为电子游戏并没有成功的激活启动效应。
简单来说:暴力游戏导致暴力这件事儿,在科学上依然找不到依据。
如何设计一个科学的“暴力实验”?
为什么要测量启动效应而不是暴力行为,这是一个好问题。
科学实验,讲究一个定量、可控、可对比。我们不可能做一项社会实验,去研究玩过某个游戏的玩家在之后的10年里是否变得更暴力。对于一项科学实验来说,干扰因素太多没有参考价值。
因此学者们盯上了启动效应这个概念,什么是启动效应呢?
“启动效应(Priming Effect)”是指由于之前受某一刺激的影响而使得之后对同一刺激的知觉和加工变得容易的心理现象。
当给人们呈现一组汉字,假如里面含有“河”这个字,随后让他们写出部首是“氵”的字时,这些人回答“河”的几率会更大。研究还发现,如果前后呈现的刺激都是同一种形式,例如都是视觉的图案或都是听觉的声音,“启动效应”更容易出现。此外,前后呈现的刺激,不一定是相同的,也可以是相关的。例如是语义上的相关,书和书包(属于同一个类别),猫和熊猫(有共同属性)。
正如上文提到的,在早期的研究中电子游戏确实能激发一些启动效应,然而英国约克大学的三位学者(David Zendle、PaulCarins、Daniel Kudenko)却对这些得出结论的实验本身提出了质疑:
首先,早期的研究未对实验中的变量进行严格控制。过往实验中采用的皆为商业游戏(Commercial Off-The-Shelf, COTS)。然而,不同类型的商业游戏间差异较大,例如游戏的竞技性和难度均不同,因此无法说明游戏中的“启动效应”是由游戏内容产生的,还是由其他因素造成的。
其次,玩家对刺激的反应速度不仅受到特定概念启动效应的影响,他们本身对相关概念的反应速度也会对其产生影响,从而导致实验误差。
为了论证这些错误的实验方法得出的结论也是“有问题”的,他们重新设计了一个实验,结果发现——游戏甚至可能引发“负启动效应(Negative Priming Effect)”,即人们在玩游戏后对游戏中涉及的相关概念反应速度减慢。
英国约克大学讲师,人机交互方向研究员 David Zendle、英国工程和自然科学研究委员会(EPSRC)游戏智能中心的博士生培训员Paul Carins、英国约克大学计算机系的成员,俄罗斯圣彼得堡国家科学研究院教授Daniel Kudenko 发起了这次的研究。
在认知心理学领域,测量启动效应的方法已经比较成熟了,主流的有三种做法:图像分类任务(Image Categorization Task)、词汇判断任务(LexicalDecision Task)以及拼字任务(Word Fragment Completion Task)。
在这三位大兄弟的实验中,选择的是图像分类法,即被试玩完电子游戏之后去看一系列图片看看被试对暴力相关的图片分类是否更快。
启动效应的测量不是重点,重点是如何设计之前的实验步骤。
Zendle等人开展了以下两个实验,克服了过往研究的不足,对游戏是否会引发“启动效应”进行了检验。
实 验 一
实验目的
当排除其他干扰因素后,电子游戏中的启动效应是否仍然存在。
假设
电子游戏中存在“启动效应”。
H1:玩动物主题游戏的玩家对图像分类任务中的动物相关图像的反应时间较短;玩汽车主题游戏的玩家对图像分类任务中与车辆相关的图像的反应时间较短。
实验设计
被试者被分为两组,其中一组参加以动物为主题的迷宫游戏,另一组参加以车辆为主题的迷宫游戏。游戏结束之后,被试者将分别被测试在图像分类任务中的反应时间。
游戏简介
动物主题迷宫游戏:玩家在迷宫游戏中控制一个被困在迷宫通道中的人物。在穿过迷宫时,玩家必须避免障碍物,同时捡起奖励并试图找到出口点。这一系列的搜索、回避和奖金收集持续了200秒。尽管玩家被告知要寻找到出口,但为了确保所有玩家在相同的时间内玩游戏,游戏中未设置迷宫出口(见图1)。
汽车主题迷宫游戏:在车辆主题游戏中,玩家通过控制车辆,避开卡车,并在寻找车库时收集轮胎。在动物主题游戏中玩家扮演老鼠的角色,避开猫,收集奶酪,同时寻找老鼠洞(见图2)。
图1. 动物主题游戏
图2. 汽车主题游戏
测量方法
图像分类任务被用来测量动物相关概念和车辆相关概念的启动。为使实验结果更为准确,在8次训练试验之后,每个被试者对动物相关图像和车辆相关图像的正确反应时间才被分别记录。
实验过程
74位英语为母语人士参加了这项实验。经过随机分配,其中37人玩动物主题游戏,37人玩汽车主题游戏。被试者通过图像了解迷宫游戏规则(见图4),这些图像中未涉及任何与游戏主题相关的单词。他们被告知在200秒计时结束前在游戏中找到出口,随后开始图像分类任务(见图3)。
图3. 汽车主题游戏说明
图4. 图像分类任务图示
实验结果
方差分析的结果表明(见图5、Table 1),游戏主题(动物主题,车辆主题)与对应图像反应速度的相关关系未通过显著性检验,拒绝了实验原假设。即玩电子游戏不会引发“启动效应”:玩动物主题游戏的玩家在分类动物相关图像时速度并无明显提高;同样,玩车辆主题游戏的玩家在分类车辆相关图像时速度也未有提升。
图 5. 动物主题和汽车主题游戏的反应时间
此外,该实验中还观察到了“负启动效应”,然而该效应很小。
实验的局限
首先,本实验检测到的“负启动效应”十分微弱,换句话说,若实验中引入了其他噪音,这种负向效应很可能就无法观察到。因此,游戏中是否会带来“负启动效应”尚不明确。
一方面,该效应可能只出现在游戏刚开始时,即玩家尚不熟悉游戏相关概念,导致图像分类时的速度减慢;另一方面,这种影响可能只发生在玩家长时间玩游戏之后,即玩家对游戏相关概念已经麻木(类比于,频繁摄入抗生素后,细菌对其刺激的反应减弱,即抗药性增强)(见图6)。
另一个局限是所选取的玩家不具备普遍性。因此,作者设计了实验2进一步检验游戏是否会触发“负启动效应”。
图6. “负启动效应”可能发生阶段
实 验 二
实验目的
在游戏开始阶段是否会触发“启动效应”或“负启动效应”。
假设
H1:“负启动效应”发生在游戏开始阶段。因此,玩20秒的汽车主题无限跑酷的被试者对车辆相关图像分类时与对照组相比的反应时间更长。
H2:“负启动效应”发生在长时间游戏后。因此,玩120秒的汽车主题无限跑酷的被试者对车辆相关图像分类时与对照组相比的反应时间更长。
实验设计
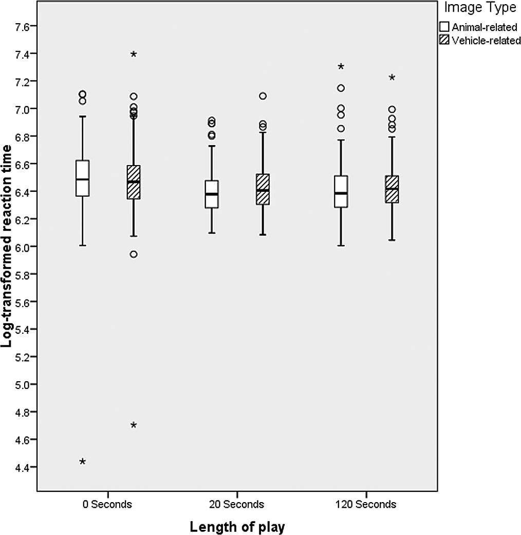
被试者分为三组:第一组不参与游戏,直接测量他们对两类图像的反应时间作为对照。第二组在游戏进行20秒后测量其反应时间。第三组在120秒后测得其反应时间。
游戏简介
本次实验中使用的无限跑酷游戏再现了《神庙逃亡》(Temple Run)等流行游戏的玩法,但是使用了基于汽车的主题。被试者扮演一个小型SUV的角色,进入越来越拥挤的路况。为了生存,参与者必须迅速预测自己在路上的位置,并相应地切换车道,用左右箭头完成(见图7)。
图 7. 汽车主题无限跑酷
测量方法
与实验1相同。
实验过程
通过门户网站和社交媒体(Facebook、Twitter)上的招募,460名英语为母语人士参加了这项实验。参与者被随机分配到不同的实验条件中,其中169人作为对照组,142名在游戏进行20秒后测量其图像分类任务的反应时间,剩余142名在120秒后测得。
实验结果
方差分析的结果再次表明(见Table 2,图8),电子游戏不会导致“启动效应”,并引发了“负启动效应”。即无论是玩过20秒的无限跑酷的玩家,还是玩过120秒的,在对汽车相关图像进行分类时,速度无明显提高(与对动物相关图像分类时相比)。
此外,控制组在进行图像进行分类时的总体速度(平均反应时间为6.482秒)比玩过游戏的被试者慢(玩过20s的平均反应时间6.414秒,玩过120秒的平均反应时间为6.423秒)。然而该结果并不能反映游戏对特定概念的启动,仅表明玩家在玩游戏后对所有内容进行分类的速度更快,与具体类别无关。众所周知,玩游戏会提高玩家的一些能力,如空间认知度和灵活性,并对快速完成各种不同的任务有积极的影响。
图8. 图像类型和游戏时长
未来,应该如何重新审视游戏?
总的来说,上述实验对早期研究中提出的游戏会引发“启动效应”、对玩家产生负面影响的主张提出了有力的反驳意见。一系列的实验结果均表明游戏并未引发“启动效应”,电子游戏的负面影响可能也被夸大了。
最后,引用Zendle等人的话:“重新审视游戏的过往相关研究有助于我们更好地理解其影响(如果有的话)。也许玩电子游戏确实会对玩家造成负面影响,但是,为了理解这些效应是什么,以及它们是否真的存在,首先需要排除过往研究中的任何误导性证据。在此基础上,进行新一轮的探索。”
